<
Che cos'è l'energia Breve storia dell'energia Fonti di energia Impatto ambientale Che fare Link e credits Che cos'è l'energia Breve storia dell'energia Fonti di energia Impatto ambientale Che fare Link e creditsMappa del sitoMappa del sito

L'energia del cibo


La prima forma d'energia usata per compiere lavoro fu quella dell'uomo, successivamente quella degli animali, quella eolica, idrica, dei combustibili fossili e nucleari, quella geotermica e quella solare.

Il lavoro che l'uomo compie si genera dall'energia che egli acquisisce attraverso il cibo. Gli elementi nutrienti che costituiscono l'alimentazione dell'uomo si classificano in tre categorie:

  • I carboidrati, caratterizzati dal fatto di avere nella loro molecola atomi di idrogeno e di ossigeno nel rapporto 2:1, di avere una complessità della molecola che varia dall'essere molto semplice come nello zucchero all'essere molto complessa come nell'amido.
Struttura molecolare dei carboidrati
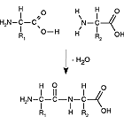
  • Le proteine, molecole molto grandi, che contengono atomi di carbonio, ossigeno, idrogeno ed azoto. Esse sono composte da blocchi costitutivi più piccoli chiamati amminoacidi.
    Le proteine si dividono in due categorie: quelle complete, così chiamate perché contengono gli amminoacidi necessari a costituire tutti i tessuti corporei e quelle incomplete perché carenti di uno o più di questi amminoacidi.
    Le proteine complete sono contenute nella carne, nel latte e nelle uova, le incomplete, quelle vegetali, sono presenti nella frutta, nella verdura e nei cereali.


  • I grassi, animali e oli vegetali, che hanno una molecola relativamente piccola, costituita da carbonio, ossigeno ed idrogeno.
Struttura molecolare dei grassi


Molti dei cibi con cui l'uomo si alimenta contengono tutti e tre i gruppi nutritivi in diverse quantità. Per definire il contenuto di energia di un dato alimento si usa uno strumento chiamato bomba calorimetrica, nel quale si brucia un campione ben definito di cibo e se ne misura il calore prodotto.

 Nella sezione: 

 Premessa
 L'energia del cibo
 Fotosintesi
 Distinzione fonti
 Riserve energetiche
 Combustibili fossili
 Disponibilità
Struttura molecolare di una proteina
Tavola elementi
Sistema elementi


Bomba colorimetrica

Lo strumento denominato bomba calorimetrica serve a misurare il contenuto di energia di un dato cibo. Questa misurazione viene fatta bruciando un piccolo campione in un contenitore rigido ben isolato termicamente, contenete una piccola camera di combustione circondata da acqua. Nella camera di combustione viene bruciato il campione di cibi in presenza di un eccesso di aria. Durante il processo di combustione l'energia termica che si sviluppa viene trasferita all'acqua e per il principio di conservazione dell'energia è il contenuto energetico del cibo che viene determinato misurando l'aumento di temperatura dell'acqua. Il prodotto della combustione è anidride carbonica (CO2 ) e acqua (H2O) che sono le stesse sostanze prodotte dalle reazioni chimiche nel corpo umano per cui l'energia che viene determinata è la stessa che si sviluppa nel corpo.



Il contenuto medio di energia dei tre componenti base del cibo è di 18,0 MJ/kg per i carboidrati, 22,2 MJ/kg per le proteine e 39,8 MJ/kg per i grassi. L'organismo metabolizza questi tre componenti in quantità differente e precisamente il 95,5 % per i carboidrati, il 77,5 % per le proteine ed il 97,7 % per i grassi.



Biscotti al cioccolato

Supponiamo di avere quattro biscotti del peso complessivo di 40 grammi, il contenuto in Grassi, Proteine, Carboidrati ed Altro è così ripartito:

Grassi11 g.9,3 kcal/g102,30 kcal
Proteine5 g.4,1 kcal/g20,50 kcal
Carboidrati23 g.4,1 kcal/g94,30 kcal
Altro1 g.0 kcal/g0 kcal

Totale40 g.217,10 kcal

Possiamo pertanto dire che quattro biscotti del peso complessivo di 40 grammi equivalgono a 217,10 kcal e ricordando che: 1000 calorie = 1kcal = 4,1868 kJ i biscotti hanno un contenuto energetico pari a:
(217,10 kcal x 4,1868 kJ) / 1kcal = 908,9543 kJ



Calcolo delle calorie di un pranzo

(solo a titolo di esempio per i concetti di energia, la dieta non centra)

Un uomo di 88 kg pranza con: due panini, un Hamburger e un Hot dog, una porzione normale di patatine fritte, una mela media e una bibita gasata e dolciastra da 200 millilitri. Determinare quanto tempo gli occorrerà per consumare le calorie del pranzo a) guardando la televisione, b) camminando a 7,2 km/h c) facendo jogging a 8 km/h.

Pranzo


Per calcolare l'energia assimilata dall'uomo con il pranzo consideriamo il corpo umano come un sistema chiuso il cui contenuto di energia rimane costante. Per il principio di conservazione dell'energia, l'energia che entra nel corpo deve essere uguale a quella che esce.
L'energia netta entrante è il contenuto di energia metabolizzabile del cibo.

Cibo Kcal

Hamburger 275
Hot dog 300
Patatine fritte 250
Mela 70
Bibita 87
Totale 982


Ee = EHamburger + EHot dog + EPatatine fritte + EMela + EBibita = 982 kcal


La potenza termica dissipata da un adulto del peso di 68 kg vale per le attività indicate.

AttivitàKcal/h

Guardale la televisione72
Camminare a 7,2 km/h432
Fare jogging a 8 km/h540


Per il calcolo dell'energia uscente bisogna rapportare quella dell'adulto del peso di 68 kg a quella dell'adulto del peso di 88 kg

Attività Rapporto
Peso 88/68
Kcal/h
68
Kcal/h
88
Energia
in uscita

Guardale la televisione 1,294    72    92,88       EuTV
Camminare a 7,2 km/h 1,294    432    559,01       EuCamminare
Fare jogging a 8 km/h 1,294    540    698,76       Eujogging


Per calcolare in quanto tempo, in funzione delle attività svolte, saranno consumate le calorie acquisite con il cibo bisogna dividere il valore delle calorie in entrata per quello delle calorie in uscita:

Tempo t (h) = Ee(kcal) / Eu(kcal/h)

Attività Energia in entrata Ee Energia in uscita Eu Tempo per consumare le calorie del pranzo

Guardale la televisione 982    72    13,64      
Camminare a 7,2 km/h 982    559,01    1,76      
Fare jogging a 8 km/h 982    698,76    1,41      



Gli esseri umani a seconda dell'età, del sesso, del livello di attività, dello stato di salute e delle dimensioni corporee hanno un fabbisogno energetico differente, ad esempio una persona piccola necessita di meno energia di una persona grande della stessa età e dello stesso sesso. Il motivo di ciò deriva dal fatto che il Fabbisogno Energetico Quotidiano è uguale alla somma del Fabbisogno energetico per il Metabolismo di Base più il Fabbisogno Energetico per le Attività Svolte.
L'analisi termodinamica del corpo umano è ovviamente molto più complessa ed articolata rispetto alla schematizzazione dei processi sopra descritti; infatti oltre agli scambi di energia bisogna considerare anche gli scambi di massa quali ad esempio la respirazione e la traspirazione e considerare il corpo umano come un sistema aperto.
Per i nostri fini il corpo umano è stato considerato come un sistema chiuso in cui il cibo ingerito è trattato come un combustibile che, metabolizzato completamente, scambia energia in quantità uguale al valore energetico della sua massa.





Torna al menu sezione Torna al menu sezione

         Che cos'è l'energia  I   Breve storia dell'energia  I   Fonti di energia  I   Impatto ambientale  I   Che fare  I   Link e credits
        Credits PROGETTO GEA Mappa del sito